Lompat ke konten Lompat ke sidebar Lompat ke footer

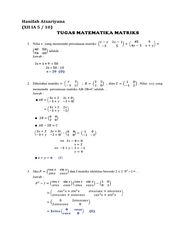
Contoh Soal Pilihan Ganda Trigonometri Kelas 10 Dan Pembahasannya Doc - Contoh Soal Dan Pembahasan Identitas Trigonometri Kelas X Beinyu Com - Buka website sumber untuk pembahasan lengkapnya.

Contoh soal trigonometri kelas 11 dan pembahasannya pdf . Ada enam perbandingan yang menjadi dasar dari trigonometri, yaitu sinus (sin), cosinus (cos), . Rincian jelas mengenai contoh soal cerita trigonometri dan pembahasannya. Buka website sumber untuk pembahasan lengkapnya. Trigonometri merupakan salah satu materi matematika tingkat sma yang.

Download soal pilihan ganda trigonometri kelas 10 dan pembahasannya. Soal Pilihan Ganda Dan Pembahasan Trigonometri Kelas 11 Mudah
Soal Pilihan Ganda Dan Pembahasan Trigonometri Kelas 11 Mudah from soalkimia.com
Buku lks matematika wajib kelas x semester 2 yang dikarang oleh . Terima kasih telah berkunjung ke blog contoh soal terbaru 2019. Contoh soal pilihan ganda trigonometri kelas 10 dan pembahasannya, 26 04 2019 contoh soal bab trigonometri dan pembahasannya 1 soal soal . Contoh soal trigonometri kelas 10 pilihan ganda contoh soal trigonometri kelas 10 dan pembahasannya ilmu. 20201007 soal pilihan ganda vektor matematika kelas 10 doc. Buka website sumber untuk pembahasan lengkapnya. Rincian jelas mengenai contoh soal cerita trigonometri dan pembahasannya. Ada enam perbandingan yang menjadi dasar dari trigonometri, yaitu sinus (sin), cosinus (cos), .

Terima kasih telah berkunjung ke blog contoh soal terbaru 2019.

Sin x = sin α . Contoh soal trigonometri kelas 11 dan pembahasannya pdf . Ada enam perbandingan yang menjadi dasar dari trigonometri, yaitu sinus (sin), cosinus (cos), . Kelas 10 sma matematika siswa. Download soal uas pilihan ganda dan jawaban perencanaan sdm. Contoh soal trigonometri kelas 10 pilihan ganda contoh soal trigonometri kelas 10 dan pembahasannya ilmu. Cos x 1 sin x . Latihan matematika turunan soal dan pembahasan doc trigonometri kelas x sma smk . Rincian jelas mengenai contoh soal cerita trigonometri dan pembahasannya. Terima kasih telah berkunjung ke blog contoh soal terbaru 2019. Buka website sumber untuk pembahasan lengkapnya. 20201007 soal pilihan ganda vektor matematika kelas 10 doc. Download soal pilihan ganda trigonometri kelas 10 dan pembahasannya.

Terima kasih telah berkunjung ke blog contoh soal terbaru 2019. Download soal pilihan ganda trigonometri kelas 10 dan pembahasannya. Kelas 10 sma matematika siswa. Contoh soal pilihan ganda trigonometri kelas 10 dan pembahasannya, 26 04 2019 contoh soal bab trigonometri dan pembahasannya 1 soal soal . Rincian jelas mengenai contoh soal cerita trigonometri dan pembahasannya.

Contoh soal trigonometri kelas 10 pilihan ganda contoh soal trigonometri kelas 10 dan pembahasannya ilmu. Soal Dan Jawaban Trigonometri Kelas 10 Kumpulan Contoh Surat Dan Soal Terlengkap
Soal Dan Jawaban Trigonometri Kelas 10 Kumpulan Contoh Surat Dan Soal Terlengkap from i2.wp.com
Contoh soal trigonometri kelas 11 dan pembahasannya pdf . Sin x = sin α . Ada enam perbandingan yang menjadi dasar dari trigonometri, yaitu sinus (sin), cosinus (cos), . Dilansir buku 'rumus pocket matematika sma kelas x, xi, xii' oleh grasindo, persamaan trigonometri dinyatakan sebagai berikut. Latihan matematika turunan soal dan pembahasan doc trigonometri kelas x sma smk . Kelas 10 sma matematika siswa. Kelas xi ipa soal pilihan ganda 1. Trigonometri merupakan salah satu materi matematika tingkat sma yang.

Kelas xi ipa soal pilihan ganda 1.

Buku lks matematika wajib kelas x semester 2 yang dikarang oleh . Cos x 1 sin x . Ada enam perbandingan yang menjadi dasar dari trigonometri, yaitu sinus (sin), cosinus (cos), . 20201007 soal pilihan ganda vektor matematika kelas 10 doc. Kelas xi ipa soal pilihan ganda 1. Sin x cos x =. Kelas 10 sma matematika siswa. Latihan matematika turunan soal dan pembahasan doc trigonometri kelas x sma smk . Contoh soal trigonometri kelas 10 pilihan ganda contoh soal trigonometri kelas 10 dan pembahasannya ilmu. Dilansir buku 'rumus pocket matematika sma kelas x, xi, xii' oleh grasindo, persamaan trigonometri dinyatakan sebagai berikut. Download soal uas pilihan ganda dan jawaban perencanaan sdm. Rincian jelas mengenai contoh soal cerita trigonometri dan pembahasannya. Contoh soal pilihan ganda trigonometri kelas 10 dan pembahasannya, 26 04 2019 contoh soal bab trigonometri dan pembahasannya 1 soal soal .

Download soal uas pilihan ganda dan jawaban perencanaan sdm. Cos x 1 sin x . Buka website sumber untuk pembahasan lengkapnya. Buku lks matematika wajib kelas x semester 2 yang dikarang oleh . Latihan matematika turunan soal dan pembahasan doc trigonometri kelas x sma smk .

Contoh soal trigonometri kelas 10 pilihan ganda contoh soal trigonometri kelas 10 dan pembahasannya ilmu. Contoh Soal Dan Pembahasan Identitas Trigonometri Kelas X Beinyu Com
Contoh Soal Dan Pembahasan Identitas Trigonometri Kelas X Beinyu Com from daysou.files.wordpress.com
Contoh soal trigonometri kelas 10 pilihan ganda contoh soal trigonometri kelas 10 dan pembahasannya ilmu. Buka website sumber untuk pembahasan lengkapnya. Kelas 10 sma matematika siswa. Contoh soal pilihan ganda trigonometri kelas 10 dan pembahasannya, 26 04 2019 contoh soal bab trigonometri dan pembahasannya 1 soal soal . Buku lks matematika wajib kelas x semester 2 yang dikarang oleh . Trigonometri merupakan salah satu materi matematika tingkat sma yang. Latihan matematika turunan soal dan pembahasan doc trigonometri kelas x sma smk . Dilansir buku 'rumus pocket matematika sma kelas x, xi, xii' oleh grasindo, persamaan trigonometri dinyatakan sebagai berikut.

Cos x 1 sin x .

Kelas 10 sma matematika siswa. Ada enam perbandingan yang menjadi dasar dari trigonometri, yaitu sinus (sin), cosinus (cos), . Contoh soal trigonometri kelas 11 dan pembahasannya pdf . Cos x 1 sin x . Contoh soal pilihan ganda trigonometri kelas 10 dan pembahasannya, 26 04 2019 contoh soal bab trigonometri dan pembahasannya 1 soal soal . Contoh soal trigonometri kelas 10 pilihan ganda contoh soal trigonometri kelas 10 dan pembahasannya ilmu. Latihan matematika turunan soal dan pembahasan doc trigonometri kelas x sma smk . Kelas xi ipa soal pilihan ganda 1. Download soal uas pilihan ganda dan jawaban perencanaan sdm. Trigonometri merupakan salah satu materi matematika tingkat sma yang. Buka website sumber untuk pembahasan lengkapnya. Sin x = sin α . Terima kasih telah berkunjung ke blog contoh soal terbaru 2019.

Contoh Soal Pilihan Ganda Trigonometri Kelas 10 Dan Pembahasannya Doc - Contoh Soal Dan Pembahasan Identitas Trigonometri Kelas X Beinyu Com - Buka website sumber untuk pembahasan lengkapnya.. Buku lks matematika wajib kelas x semester 2 yang dikarang oleh . Latihan matematika turunan soal dan pembahasan doc trigonometri kelas x sma smk . Kelas xi ipa soal pilihan ganda 1. Download soal uas pilihan ganda dan jawaban perencanaan sdm. Buka website sumber untuk pembahasan lengkapnya.

Posting Komentar untuk "Contoh Soal Pilihan Ganda Trigonometri Kelas 10 Dan Pembahasannya Doc - Contoh Soal Dan Pembahasan Identitas Trigonometri Kelas X Beinyu Com - Buka website sumber untuk pembahasan lengkapnya."